Все фильтры

Термомеханический анализ (ТМА) - то метод термического анализа, основанный на регистрации деформации (изменения линейных размеров) образца как функции температуры и времени при действии заданной механической нагрузки (сжатия, растяжения, изгиба или пенетрации)

Физико-химическая сущность метода

Сущность метода заключается в том, чтобы зафиксировать, как внешнее воздействие (нагрев или охлаждение) влияет на внутреннюю структуру материала. Это влияние приводит к обратимым (например, тепловое расширение) или необратимым (плавление, размягчение, усадка) изменениям размеров образца и механических свойств.

Метод ТМА, по сути, является развитием классической дилатометрии (измерения теплового расширения), но с более широкими возможностями. В отличие от дилатометрии, где нагрузка минимальна, ТМА использует программируемую нагрузку, что позволяет моделировать реальные условия работы материала.

 

ТМА позволяет количественно описать связь между температурным полем T, механическим напряжением σ и относительной деформацией ε материала в не изотермических условиях. По сути, это измерение термомеханических свойств, определяемых релаксационными и фазовыми переходами в материале.

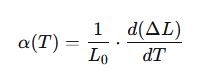
В основе метода лежит измерение функции ΔL(T,t,σ), где ΔL - изменение длины (или высоты) образца; T - температура образца в данный момент времени; t - время от начала эксперимента; σ - механическое напряжение, приложенное к образцу  Путем дифференцирования получают коэффициент линейного термического расширения (КТР):

1.jpg

где L0 — начальный размер образца.

 

Если нагрузка не равна нулю, то полное изменение размера образца складывается из двух компонент:

2.jpg

 где:

ΔLтерм - чисто тепловое расширение (то, что описывается КТР).

ΔLмех - деформация, вызванная приложенной силой (упругая, вязкая, ползучесть).

Ключевые аналитические параметры

Ключевая особенность ТМА — гибкость в выборе режима измерения. Это позволяет получать информацию о разных свойствах:

- Режим расширения (Expansion Mode): Определяет коэффициент термического расширения (КТР/CTE) и усадку при минимальной нагрузке.

- Режим пенетрации (Penetration Mode): Измеряет температуру размягчения, стеклования и отверждения под нагрузкой с помощью сферического наконечника.

- Режим растяжения (Tension Mode): Применяется для пленок и волокон для оценки термической усадки и прочности.

- Режим изгиба (Bending Mode): Оценивает поведение материалов при трехточечном изгибе.

- Режим ползучести (Creep Mode): Характеризует долговременную деформацию и стабильность при постоянной нагрузке и температуре.

Области применения ТМА

Автомобилестроение

- Контроль качества полимерных деталей салона, уплотнителей, элементов подвески и корпусов электронных блоков.

- Разработка новых материалов для кузовных панелей, обшивки и компонентов электромобилей.

- Анализ отказов для выяснения причин деформации или разрушения деталей в процессе эксплуатации.

Аэрокосмическая промышленность

В авиации и космонавтике к материалам предъявляются повышенные требования в условиях экстремальных температур. ТМА незаменим для тестирования:

- Высокотемпературных композитов, используемых в двигателях и корпусах летательных аппаратов.

- Легких, но прочных сплавов, а также клеевых соединений, работающих в широком диапазоне температур.

Электронная промышленность

Для электроники ТМА критически важный метод:

- Оценки соответствия коэффициентов теплового расширения (КТР) материалов печатных плат (PCB), корпусов микросхем и подложек. Несоответствие КТР — частая причина разрушения паяных соединений.

- Анализа термической стабильности тонких пленок, используемых в гибкой электронике и сенсорах.

- Исследования литий-ионных аккумуляторов, включая термостабильность сепараторов и электролитов.

Строительство и производство строительных материалов

ТМА применяется для контроля качества и испытаний:

- Полимерных труб, оконных профилей, изоляционных материалов, герметиков и клеев.

- Строительной керамики, стекол, глазури и эмалей для оценки их долговечности и устойчивости к перепадам температур.

- Композитной арматуры, заменяющей стальную в химически агрессивных средах.

Материаловедение и металлургия

В этих фундаментальных и прикладных науках ТМА позволяет:

- Изучать фазовые переходы в металлах и сплавах, что важно для разработки режимов термической обработки (закалка, отжиг).

- Исследовать кинетику спекания керамических и металлических порошков при создании новых материалов.

- Анализировать поведение тонких пленок, волокон и покрытий при нагреве